Contoh Soal Limit Dengan Substitusi Langsung. Berikut ini adalah contoh soal dan pembahasan super lengkap mengenai limit khusus fungsi aljabar. Makalah materi download unduh contoh soal limit matematika beserta pembahasan dan jawabannya lengkap terbaru beserta pembahasan tentang pengertian Seperti yang ditulis pada judulnya, didalam artikel ini kita akan lebih banyak memaparkan tentang soal - soal yang berkenaan dengan Limit.
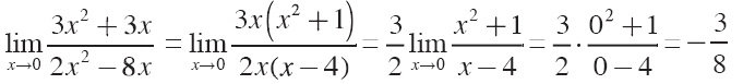
Untuk mempermudah Anda dalam mempelajari bab ini Ada beberapa fungsi yang nilai limitnya dapat ditentukan dengan cara substitusi langsung seperti contoh berikut.
Selain dengan metode substitusi, metode pemfaktoran, dan dalil L'Hospital, kita juga dapat menentukan nilai limit dari suatu fungsi dengan menggunakan metode perkalian sekawan.
Limit Sebuah Fungsi Pada Titik Tak Terhingga. Seperti biasa, kita akan menyelidiki cara menentukan limit dengan cara substitusi, pemfaktoran, dan pembilang yang sama terlebih dahulu. Makalah materi download unduh contoh soal limit matematika beserta pembahasan dan jawabannya lengkap terbaru beserta pembahasan tentang pengertian Seperti yang ditulis pada judulnya, didalam artikel ini kita akan lebih banyak memaparkan tentang soal - soal yang berkenaan dengan Limit.




.png)

