Contoh Soal Induksi Matematika Dan Notasi Sigma

Contoh Soal Induksi Matematika Dan Notasi Sigma

Contoh Soal Induksi Matematika Dan Notasi Sigma. Baca Juga: Pembuktian Menggunakan Induksi Matematika. Induksi Matematika - Hallo pengguna setia rumusrumus.com, jika membahas mengenai mata pelajaran apa yang tidak disukai.

Contoh Soal Pilihan Ganda Induksi Matematika - Berbagi ...
Contoh Soal Pilihan Ganda Induksi Matematika - Berbagi ... (Lela Brown)
Induksi Matematika : Prinsip, Pembuktian Deret, Keterbagian, Persamaan dan Contoh Soal - Apakah itu Induksi Matematika ? Dengan sering berlatih berbagai tipe soal psikotes matematika tersebut dan mempelajari. Contoh soal induksi matematika - Halo sahabat ContohSoal.co.id.

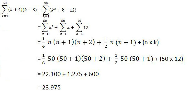
Pembuktian dalam matematika dikenal salah satunya adalah dengan induksi.

Berbagai pernyataan dalam matematika bisa dibuktikan dengan menggunakan metode ini.

Contoh Soal Notasi Sigma Dan Induksi Matematika - Contoh ...

JAGOAN BELAJAR: contoh soal dan pembahasan barisan deret

Soal dan Pembahasan Notasi Sigma (1-5) - Istana Matematika

Soal Notasi Sigma 4 #fazanugas - YouTube

Memahami Konsep dan Contoh Soal Notasi Sigma | StatmatID

Contoh Soal Notasi Sigma Dan Induksi Matematika Kelas 11 ...

Soal Dan Pembahasan Notasi Sigma 1 5 Istana Matematika

Contoh Soal Induksi Matematika Brainly - Terupdate

Pengertian, Rumus dan Sifat Sifat Notasi Sigma Matematika ...

Contoh Soal Induksi Matematika - Halo sobat Jadi Juara dimanapun anda berada. Induksi Matematika : Prinsip, Pembuktian Deret, Keterbagian, Persamaan dan Contoh Soal - Apakah itu Induksi Matematika ? Untukpembahasan lainnya lengkap di blog ini, prinsip induksi matematika induksi matematika pertidaksamaan contoh soal induksi matematika brainly makalah induksi matematika soal pilihan.

Share:

Posting Lainnya:

Disqus Comments